NCERT Solutions for Chemistry – Class 11, Chapter 4: Chemical Bonding and Molecular Structure
“Chemical Bonding and Molecular Structure” is the fourth chapter in the CBSE class 11 chemistry syllabus. This chapter touches on several fundamental concepts in the field of chemistry (such as hybridization and the modern theories on chemical bonding). The concepts covered in this chapter are listed below.
- VSEPR theory
- Lewis structures
- Valence bond theory
- The polar character of covalent bonds
- The concept of hybridization
- The molecular orbital theory of homonuclear diatomic molecules
- Hydrogen bonding
The NCERT solutions for class 11 chemistry (chapter 4) provided on this page feature the following types of questions:
- Drawing Lewis dot symbols for atoms, molecules, and polyatomic ions
- Questions on bond parameters
- Expressing resonance with the help of Lewis structures
- Questions related to dipole moment, bond polarity, and polar covalent bonds
- Questions on hybridization
- Questions on VBT, MOT, and the VSEPR theory
The concept-focused approach followed during the creation of the class 11 chemistry NCERT solutions makes them extremely useful during chapter revisions. Crafted by highly experienced subject experts, the chemistry NCERT solutions for chapter 4 of class 11 provided by BYJU’S enable students to solve similar questions with ease. Moreover, solutions to the relatively complex questions feature step-by-step algorithms that can be followed while solving them.
Subtopics of Class 11 Chemistry Chapter 4: Chemical Bonding and Molecular Structure
- Octet Rule
- Covalent Bond
- Lewis Representation Of Simple Molecules (The Lewis Structures)
- Formal Charge
- Limitations Of The Octet Rule
- Ionic Or Electrovalent Bond
- Lattice Enthalpy
- Bond Parameters
- Bond Length
- Bond Angle
- Bond Enthalpy
- Bond Order
- Resonance Structures
- Polarity Of Bonds
- The Valence Shell Electron Pair Repulsion (VSEPR) Theory
- Valence Bond Theory
- Orbital Overlap Concept
- Directional Properties Of Bonds
- Overlapping Of Atomic Orbitals
- Types Of Overlapping And Nature Of Covalent Bonds
- The Strength Of Sigma And Pi Bonds
- Hybridisation
- Types Of Hybridisation
- Other Examples Of Sp3, Sp2 And Sp Hybridisation
- The Hybridisation Of Elements Involving D Orbitals
- Molecular Orbital Theory
- Formation Of Molecular Orbitals Linear Combination Of Atomic Orbitals (Lcao)
- Conditions For The Combination Of Atomic Orbitals
- Types Of Molecular Orbitals
- Energy Level Diagram For Molecular Orbitals
- Electronic Configuration And Molecular Behaviour
- Bonding In Some Homonuclear Diatomic Molecules
- Hydrogen Bonding
- Cause Of Formation Of Hydrogen Bond
- Types Of H-bonds.
NCERT Solutions for Class 11 Chemistry Chapter 4
Q-1) Explain the formation of a chemical bond
Ans.)
“Chemical bond is an attractive force that bounds the constituents of a chemical species together.”
So many theories are suggested for chemical bond formation such as valence shell electron pair repulsion theory, electronic theory, molecular orbital theory, and valence bond theory.
Formation of a chemical bond is credited to the tendency of a system to achieve stability. It was noticed that inertness of noble gasses is the direct result of their completely filled outermost orbitals. Consequently, it was proposed that the elements having a deficiency of electrons in outermost shells are unstable. Thus, atoms combine with one another and finish their separate octets or duplets to achieve the stable configuration of the closest inert gasses. So, this combination may occur either by sharing of electrons. The formed chemical bond is a result of sharing of electrons among atoms is known as a covalent bond. Also, a formed ionic bond is a result of sharing of electrons among atoms.
Q-2) Write Lewis dot symbols for atoms of the following elements :
a) Na
b) Mg
c) O
d) N
e) B
f) Br
Ans.)
a) Na
Sodium atom contains only 1 valence electron. Thus, the lewis dot symbols for Na is
b) Mg
Magnesium atom contains only 2 valence electrons. Thus, the lewis dot symbols for Mg is
![]()
c) O
Oxygen atom contains only 6 valence electrons. Thus, the lewis dot symbols for O is
![]()
d) N
Nitrogen atom contains only 5 valence electrons. Thus, the lewis dot symbols for N is
![]()
e) B
Boron atom contains only 3 valence electrons. Thus, the lewis dot symbols for B is
![]()
f) Br
Bromine atom contains only 7 valence electrons. Thus, the lewis dot symbols for Br is

Q-3) Give the lewis dot symbols for the elements given below:
(a) Al and Al3+
(b) H and H–
(c) S and S2-
Ans.)
(a) Al and Al3+
An aluminium atom contains only 3 valence electrons. Thus, the lewis dot symbols for Al is

The tri-positive charge on aluminium indicates that it has donated 3 electrons.
Thus lewis dot symbol is
(b) H and H–
A hydrogen atom contains only 1 valence electrons. Thus, the lewis dot symbols for H is
The single negative charge on hydrogen indicates that it has gained 1 electron. So, one valance electron plus one gained an electron.
Thus lewis dot symbol is
![]()
(c) S and S2-
A sulphur atom contains only 6 valence electrons. Thus, the lewis dot symbols for S is
![]()
The bi-negative charge on sulphur indicates that it has gained 2 electrons. So, six valance electron plus two gained an electron.
Thus lewis dot symbol is

Q-4) Draw the Lewis structures for the following molecules and ions :
(a) SiCl4
(b) H2S
(c) HCOOH
(d) BeF2
(e)
Ans.)
(a) SiCl4

(b) H2S

(c) HCOOH

(d) BeF2
![]()
(e)

Q-5) Define the octet rule. Write its significance and limitations
Ans.)
Octet rule says, “atoms can combine either by transfer of valence electrons from one atom to another or by sharing their valence electrons in order to achieve the nearest inert gas configuration by having an octet in their valence shell.”
![]()
Octet rule explains chemical bond formation depending upon nature of the element.
Limitations:
(a) Octet rule fails to predict the relative stability and shape of the molecules.
(b) It is based on the inert nature of noble gases. But, some inert gases say, krypton(Kr) and xenon(Xe) form compounds like KrF2, XeF2 etc.
(c) For elements beyond the 3rd period, the octet rule cannot be applied. Elements present beyond 3rd period have more than 8 valence electrons surrounding the central atom. E.g. SF6, PF6 etc.

(d) For atoms in a molecule having an odd number of electrons, octet rule is not applied. E.g. For No2 and NO octet rule is not applicable.

(e) If a compound is having less than 8 electrons surrounding the central atom than octet rule cannot be applied to that compound. E.g. BeH2, AlCl3, LiCl etc. is not obeying octet rule.

Q-6) Write the favourable factors for the formation of an ionic bond.
Ans.)
Formation of ionic bond takes place by transfer of 1 or more electrons from one atom to another. Thus, ionic bond formation depends on the flexibility of neutral atoms to lose or gain electrons. Formation of ionic bond also depends on the lattice energy of the compound which is formed.
The factors that are favourable for ionic bond formation:
(a) High electron affinity of atoms of non- metal.
(b) The high lattice energy of compound which is formed.
(c) Low ionization enthalpy of an atom of metal.
Q-7) Discuss the shape of the following molecules using the VSEPR model:
(a) BCl3
(b) SiCl4
(c) AsF5
(d) PH3
(e) BeCl2
(f) H2S
Ans.)
(a) BCl3
Central atom is not having any lone pair but have 3 bond pairs. Thus, its shape is AB3. i.e..Trigonal planar.

(b) SiCl4
Central atom is not having any lone pair but have 4 bond pairs. Thus, its shape is AB4. i.e. Tetrahedral.

(c) AsF5
Central atom is not having any lone pair but have 5 bond pairs. Thus, its shape is AB5. i.e. Trigonalbipyramidal.

(d) PH3
Central atom is having 1 lone pair andis having 3 bond pairs. Thus, its shape is AB3E. i.e. Trigonalbipyramidal.

(e) BeCl2
Central atom is not having any lone pair but have 2 bond pairs. Thus, its shape is AB2. i.e. Linear shape.

(f) H2S
Central atom is having 1 lone pair and is having 2 bond pairs. Thus, its shape is AB2E. i.e. Bent shape.
![]()
Q-8) Although geometries of NH3 and H2O molecules are distorted tetrahedral, bond angle in water is less than that of Ammonia. Discuss.
Ans.)
The geometry of H2O and NH3:

Central atom(N) in ammonia is having 1 lone pair and is having 3 bond pairs.
Central atom(O) in water is having 2 lone pair and is having 2 bond pairs.
Thus, these 2 lone pairs on O- atom in water molecule repels the 2 bond pairs. And this repulsion is between lone pair and bond pair on O- atom of H2O is stronger than the repulsion is between lone pair and bond pair on N-atom of NH3.
Thus, the bond angle in H2O is less than NH3, even though they are having distorted tetrahedral structure.
Q-9) How do you express the bond strength in terms of bond order ?
Ans.)
The extent of bonding which occurs between two atoms while forming a molecule is represented by bond strength. As the bond strength increases the bond becomes stronger and the bond order increases.
Q-10) Define Bond length.
Ans.)
“Bond length is defined as the equilibrium distance between the nuclei of 2 boned atoms in a molecule.”
Q-11) Explain the important aspects of resonance with reference to the CO32− ion.
Ans.)
Experimental results shows that, all the C-O bond in
Thus, it is inefficient to represent
Thus, the resonance structures of

Q-12) H3PO3 can be represented by structures 1 and 2 shown below. Can these two structures be taken as the canonical forms of the resonance hybrid representing H3PO3? If not, give reasons for the same.
Ans.)

In the given structures the position of atoms are changed, so we cannot take the 2 given structures as a canonical form of resonance hybrid which is representing H3PO3.
Q-13) Write the resonance structures for SO3, NO2, and NO3–.
Ans.)
(a)

(b) NO2

(c) SO3

Q-14) Use Lewis symbols to show electron transfer between the following atoms to form cations and anions :
(i) O and Ca
(ii) N and Al
(iii) S and K.
Ans.)
(i) O and Ca
Electronic configurations of O and Ca are:
O: 2, 6
Ca: 2, 8, 8, 2
Here, it clear that Ca has 2 more electrons then nearest inert gas. i.e. Ar, whereas O needs 2 electrons to complete its octet. Thus, the transfer of electrons takes place in following way,

(ii) N and Al
Electronic configurations of N and Al are:
N: 2, 5
Al: 2, 8, 3
Here, it clear that Al has 3 more electrons then nearest inert gas. i.e. Ne, whereas N needs 3 electrons to complete its octet. Thus, the transfer of electrons takes place in the following way,

(iii)S and K
Electronic configurations of S and K are:
S: 2, 8, 6
K: 2, 8, 8, 1
Here, it clear that K has 1 more electron then nearest inert gas. i.e. Ne, whereas S needs 2 electrons to complete its octet. Thus, the transfer of electrons takes place in the following way,

Q-15) Although both CO2 and H2O are triatomic molecules, the shape of the H2O molecule is bent while that of CO2 is linear. Explain this on the basis of dipole moment.
Ans.)
Experimental results show that the dipole moment of CO2 is 0. And it is possible only if the shape of the molecule is linear as dipole moments of a bond between C-O is equal and opposite so, it nullifies each other.

H2O has 1.84D dipole moment. The value of dipole moments indicates that the structure of water molecule is bent as dipole moments of the bond between O-H is unequal.

Q-16) Write the significance/applications of dipole moment.
Ans.)
In heteronuclear molecule, there is a difference in electro-negativities of constituents of the atom, due to which polarisation arises it. Thus, one end of acquires positive charge and other end acquires a negative charge. So, molecules are said to have a dipole moment.
The product of distance between centres of negative and positive charges and magnitude of the charge is known as dipole moment (
SI unit of dipole moment is ‘esu’.
1 esu =
It is the measure of the polarity of a bond. It differentiates the non-polar and polar bonds as all the non-polar molecules have dipole moment equal to 0. It also calculates the ionic character of a molecule.

Q-17) Define electronegativity. How does it differ from electron gain enthalpy?
Ans.)
“Electronegativity is the ability of an atom in a chemical compound to attract a bond pair of electrons towards itself”.
| Sr. No | Electronegativity | Electron affinity |
| 1 | A tendency to attract the shared pairs of electrons for an atom which is in chemical compound is its electronegativity. | A tendency to gain electrons for an isolated gaseous atom is its electron gain enthalpy. |
| 2 | It varies according to element to which it is bounded with. | It does not vary according to element to which it is bounded with. |
| 3 | It is not constant for any element. | It is constant for an element. |
| 4 | It is not a measurable quantity. | It is a measurable quantity. |
Q-18) Explain with the help of suitable example polar covalent bond.
Ans.)
When two unique atoms having distinctelectronegativities join to form a covalent bond, the bond pair ofelectrons is not shared equally. The nucleus of an atom having greater electronegativityattracts the bond pair. So, the electron distribution gets distorted and an electronegativity atom attracts the electron cloud.
Thus, the electronegative element gets slightly negatively charged and on the other hand, the other atom gets slightly positively charged. As a result of this, two opposite poles are developed in a molecule and this type of bond formed is termed as ‘polar covalent bond’.
E.g. HCl is having a polar covalent bond. In HCl, Cl- atom is having more electronegativity than H- atom. Thus, bond pair shifts towards Cl- atom and because of that it acquires positive charge.

Q-19) Arrange the bonds in order of increasing ionic character in the molecules: LiF, K2O, N2, SO2, and ClF3.
Ans.)
Ionic characteristic of a molecule depends on the difference in electronegativity between constituents atoms. So, higher the difference, the ionic characteristic of a molecule will be higher.
So, the required order of ionic characteristic of the given molecules is
N2< SO2< ClF3< K2O <LiF.
Q-20) The skeletal structure of CH3COOH as shown below is correct, but some of the bonds are shown incorrectly. Write the correct Lewis structure for acetic acid.
Ans.)

Correct Lewis structure of CH3COOH is given below:

Q-21) Apart from tetrahedral geometry, another possible geometry for CH4 is square planar with the four H atoms at the corners of the square and the C atom at its centre. Explain why CH4 is not square planar.
Ans.)
Electronic configuration of C- atom:
6C :
Orbital picture of C- atom in excited state is:

Thus, C- atom undergoes sp3 hybridization in methane molecule and forms tetrahedral structure.

For square planer geometry, C-atom should have dsp2 hybridization. But as C- atom is not having d- orbital so it cannot undergo dsp2 hybridization. Thus, Methane’s geometry cannot be square planer.
Also in square planar geometry the bond angle is
Q-22) Explain why BeH2 molecule has a zero dipole moment although the Be–H bonds are polar.
Ans.)
Lewis structure of BeH2 is:

Central atom is not having any lone pair but have 2 bond pairs. Thus, its shape is AB2. i.e. Linear shape.

Thus, the dipole moment of Be- H bond is equal and opposite in direction so it nullifies one another. Thus, the dipole moment of BeH2 is 0.
Q-23) Which out of NH3 and NF3 has higher dipole moment and why?
Ans.)
N- atom is the central atom of NF3 and NH3.
Central atom is having 1 lone pair and is having 3 bond pairs. Thus, for both teh shape is AB3E. i.e. Pyramidal.
As, F-atom is more electronegativity than H- atom,NF3 should have higher dipole moment than NH3. But the dipole moment of NH3 is 1.46D which is higher than dipole moment of NF3 which is 0.24D.
It gets clear from the directions of dipole moments of individual bond in NF3 and NH3.

As, both the N-H bond are in same direction it adds to the bond moment of the lone pair, while N-F bond are in opposite direction so they partly cuts the bond moment of lone pair.
Thus, dipole moment of NH3 is higher than that of NF3.
Q-24) What is meant by hybridisation of atomic orbitals? Describe the shapes of sp, sp2 , sp3 hybrid orbitals.
Ans.)
“Hybridization is defined as an intermixing of a set of atomic orbitals of slightly different energies, thereby forming a new set of orbitals having equivalent energies and shapes”.
E.g. 1 s- orbital hybridises with 3 p- orbitals to form 4 sp3 hybrid orbitals.
(a) sp hybrid orbital
1 s- orbital hybridises with 1 p- orbitals to form 2 sp hybrid orbitals. sp hybrid orbital is having linear shape. The formation of sp orbital is:

(b) sp2 hybrid orbital
1 s- orbital hybridises with 2 p- orbitals to form 3 sp2 hybrid orbitals. The shape of sp2 orbital is trigonal planar.

(c) sp3 hybrid orbital
1 s- orbital hybridises with 3 p- orbitals to form 4 sp3 hybrid orbitals. The shape of sp3 orbital is tetrahedron.

Q-25) Describe the change in hybridisation (if any) of the Al atom in the following reaction.
AlCl3 +
Ans.)
The ground state of valence orbital of Al –atom is:

In excited state the orbital picture of Al- atom is:

Thus, Al -atom in AlCl3 undergoes sp2 hybridisation and forms trigonal planar geometry. Foe the formation of
Q-26) Is there any change in the hybridisation of B and N atoms as a result of the following reaction?
BF3 + NH3à F3B.NH3
Ans.)
N- atom in NH3 is having sp3 hybridization. Orbital picture of N- atom is shown below:

B- atom in NF3 is having sp2 hybridisation . Orbital picture of B- atom is shown below:

On the reaction of NH3 and BF3, F3B.NH3 is obtained as product, as hybridization of B-atom is changed to sp3. Although, hybridization of N- atomsremains unchanged.
Q-27) Draw diagrams showing the formation of a double bond and a triple bond between carbon atoms in C2H4 and C2H2
molecules.
Ans.)
- C2H2
In formation of ethyne(C2H2) molecule, C- atom is having sp hybridization with 2 2p- orbitals in unhybridized state.
1 sp orbital of each C- atom overlaps the inter-nuclear axis and forms C-C sigma bond. The 2ndsp orbital of each C- atom overlaps half-filled 1s orbital so as to form a sigma bond.
The triple bond between the 2 C- atoms has 1 sigma bond and 2 Pie bonds. This is because 2 unhybridized 2p- orbitals overlaps with the 2p- orbital of other C- atom, thus forming 2 pie bonds.

- C2H4
Electronic configuration of carbon atom in excited state is given below:
6C:
In the formation of C2H4 (ethane) molecule 1 sp2 orbital of C- atom overlaps sp2 orbital of other C- atom. Thus, forming a C-C sigma bond.
The 2 remaining sp2 orbital of every C- atom forms sp2-s

Q-28) What is the total number of sigma and pi bonds in the following molecules?
(a) C2H2
(b) C2H4
Ans.)
Single bond is formed as the axis of bonding orbital overlaps. Thus, it forms a
(i) C2H2

Thus, there are 2
(ii) C2H4
Thus, there are 1

Q-29) Considering x-axis as the internuclear axis which out of the following will not form a sigma bond and why?
(i) 1s and 2px
(ii) 1s ans 1s
(iii) 1s and 2s
(iv) 2py and 2py
Ans.)
(iv) 2py and 2py
2py and 2py orbitals won’t form a
Q-30) Which hybrid orbitals are used by carbon atoms in the following molecules?
(i) CH3-CH=CH2
(ii) CH3-CH3
(iii) CH3-CHO
(iv) CH3COOH
(v) CH3CH2-OH
Ans.)
(i) CH3-CH=CH2

Here, C3 and C2 are having sp2 hybridization and C1 is having sp3 hybridization.
(ii) CH3-CH3

Here, C1 and C2 are having sp3 hybridization.
(iii) CH3-CHO

Here, C1 is having sp3 hybridization and C2 is having sp2 hybridization.
(iv) CH3COOH

Here, C1 is having sp3 hybridization and C2 is having sp2 hybridization.
(v)CH3CH2-OH

Here, C1 and C2 are having sp3 hybridization.
Q-31) What do you understand by bond pairs and lone pairs of electrons? Illustrate by giving one exmaple of each type.
Ans.)
A covalent bond is formed when 2 atoms combine with each other by sharing their valence electrons.
“The shared pairs of electrons present between the bonded atoms are called bond pairs”. Each and every electron cannot participate in bonding. “The pairs of electrons which do not participate in bonding are called lone pairs”.
E.g. a) Ethane is having 7 bond pairs but zero lone pair.

b) Water is having 2 bond pairs and 2 lone pairs on O- atom.

Q-32) Distinguish between a sigma and a pi bond.
Ans.)
| Sr. No. | Pi bond | Sigma bond |
| 1 | Pi bond is formed by lateral overlapping of orbitals. | Sigma bond is formed by end to end overlapping of orbitals. |
| 2 | It is comparatively weak bond. | It is comparatively strong bond. |
| 3 | There is only one overlapping orbital is p-p. | The overlapping orbitals are s-s, s-p, p-p. |
| 4 | Rotation around pi- bond is restricted. | Rotation is possible around sigma bond. |
| 5 | Electron cloud is not symmetrical about the line joining 2 nuclei. | Electron cloud is symmetrical about the line joining 2 nuclei. |
| 6 | It is having 2 electron clouds one above the plane of atomic nuclei and one below the plane of atomic nuclei. | It is having 1 electron cloud and that is symmetrical about the inter-nuclear axis. |
Q-33) Explain the formation of H2 molecule on the basis of valence bond theory.
Ans.)
Assuming 2 H- atoms X and Y with nuclei NX and NY and electrons eX and eY respectively.
When X and Y are far for each other then there is no interaction between them. As soon as they come closer, the attractive force and repulsive force becomes active.
The repulsive forces are:
(i) Between electrons of both the atoms i.e. eX and eY.
(ii) Between nuclei of boththe atoms i.e. NX and NY.
The attractive forces are:
(i) Between the electro and nucleus of the same atom i.e. NX – eX and NY -eY.
(ii) Between the electron of one atom and nucleus of other atomi.e. NX–eY and NY–eX.
The repulsive force push the 2 atoms apart whereas the attractive force tend to bring them together.
Repulsive forces:

Attractive forces:

The values of repulsive forces are less than that of attractive forces. Thus, 2 atoms approach each other. Thus, there is decrease in potential energy. At the end a stage is reached when the repulsive forces balance the attractive forces and the system achieves the minimum energy,which leads to formation of H2 molecule.
Q-34) Write the important conditions required for the linear combination of atomic orbitals to form molecular orbitals.
Ans.)
The condition that is required for linear combination of an atomic orbitals to form a molecular orbitals are as follows:
(i) The joining of atomic orbitals must have approximately same energy. Thisimplies in a homo-nuclear molecule, the 1s-orbital of one atom can join with the 1s- orbital of another atom, but cannot join with the 2s-orbital.
(ii) The joining atomic orbitals must have legitimate orientations to ensure themaximum overlap.
(iii) The overlapping must be in a large extent.
Q-35) Use molecular orbital theory to explain why the Be2 molecule does not exist.
Ans.)
Electronic configuration of Be:
1s2 2s2
Molecular orbital electronic configuration of Be2 is:
Thus, bond order of Be2: 0.5(Nb – Na).
Na: No. of electrons in the bonding orbitals
Nb: No. of electrons in the anti-bonding orbitals
Therefore, bond order of Be2 = 0.5(4 – 4) = 0
Zero value of bond order indicates that given molecule is unstable. Thus, Be2 doesn’t exist.
Q-36) Compare the relative stability of the following species and indicate their magnetic properties;
(a) O2
(b)
(c)
(d)
Ans.)
O2 contain 16 electrons i.e. 8 electrons from each O- atom.
- Electronic configuration of O2 is:
As 1s- orbital of each O- atom does not involve in the bonding,
No. of bonding electrons = Nb = 8
No. of anti-bonding electrons = Na = 4
Now,
Bond order = 0.5(8 – 4) = 2
- Electronic configuration of
(peroxide) is:
No. of bonding electrons = Nb = 8
No. of anti-bonding electrons = Na = 6
Now,
Bond order = 0.5(8 – 6) = 1
- Electronic configuration of
(superoxide) is:
No. of bonding electrons = Nb = 8
No. of anti-bonding electrons = Na = 5
Now,
Bond order = 0.5(8 – 5) = 1.5
- Electronic configuration of
is:
No. of bonding electrons = Nb = 8
No. of anti-bonding electrons = Na = 3
Now,
Bond order = 0.5(8 – 3) = 2.5
As, bonddissociation energy
Hence, higher the bond order, higher stability will be there.
Arrangement according to decreasing order of stability is given as:
Q-37) Write the significance of a plus and a minus sign shown in representing the orbitals
Ans.)
Generally molecular orbital are represented by the ‘wave function’.
Positive (+) sign in representing a molecular orbital indicates positive wave function.
Negative (-) sign in representing a molecular orbital indicates negative wave function.
Q-38) Describe the hybridisation in case of PCl5. Why are the axial bonds longer as compared to equatorial bonds?
Ans.)
The electronic configuration of outer orbital of phosphorus in excited state and in ground state is given below:
Ground State:

Excited State:

Phosphorus atom is having sp3d hybridization. These orbitals are filled due to donation of electron pairs by 5 Cl- atoms: PCl5

The 5 sp3d hybrid orbitals present here are directed towards 5 corners of trigonalbipyramidals. Thus, the geometry of PCl5 is given below:

PCl5 contains 5 P- Cl sigma bonds. Out of which 3 P-Cl bond lie in only 1 plane and they are making
Out of 2 remaining P-Cl bonds one bond lie above the equatorial plane and one bond lie below the equatorial bond. And they are making
Equatorial bond pairs repel axial bond pairs to a large extent so, equatorial bonds are slightly shorter than axial bonds.
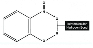
Q-39) Define hydrogen bond. Is it weaker or stronger than the van der Waals forces?
Ans.)
“H-bond is defined as an attractive force acting between the hydrogen attached to an electronegative atom of one molecule and an electronegative atom of a different molecule”.
As there is differencein the electronegativities between the atoms, thus, the bond pairelectronegative atom and hydrogen atom is drifted away from H- atom. Therefore, hydrogen atom gets electropositive w.r.t. the other atom and procures a positive charge.
The value of H- bond is minimum in gaseous state and maximum in the solid state.
Two types of hydrogen bond are there:
(a) Intramolecular hydrogen bond e.g., o- nitrophenol
(b) Inter molecular hydrogen bond e.g., HF, H2O etc.

H- bonds are stronger than Van der Waals forces as H- bond are regarded as extreme form of the dipole- dipole interaction.
Q-40)What is meant by the term bond order? Calculate the bond order of: N2, O2, O2+ and O2–.
Ans.)
Bond Order: It is defined as 0.5 times the difference between the “No. of electrons present in bonding orbitals and No. of electrons present in anti- bonding orbitals” of a molecule.
Bond Order = 0.5(Nb – Na);
Na: No. of anti-bonding electrons
Nb: No. of bonding electrons
O2 contain 16 electrons i.e. 8 electrons from each O- atom.
- Electronic configuration of O2 is:
No. of bonding electrons = Nb = 8
No. of anti-bonding electrons = Na = 4
Now,
Bond order = 0.5(8 – 4) = 2
- Electronic configuration of
(superoxide) is:
No. of bonding electrons = Nb = 8
No. of anti-bonding electrons = Na = 5
Now,
Bond order = 0.5(8 – 5) = 1.5
- Electronic configuration of
is:
No. of bonding electrons = Nb = 8
No. of anti-bonding electrons = Na = 3
Now,
Bond order = 0.5(8 – 3) = 2.5
- Electronic configuration of N2 is:
No. of bonding electrons = Nb = 10
No. of anti-bonding electrons = Na = 4
Now,
Bond order = 0.5(10 – 4) = 3
EmoticonEmoticon